背景:切向流動過濾 (Tangential flow filtration, TFF) 系統是一種廣泛應用于灌流培養的細胞截留裝置,但操作時間長帶來了巨大的挑戰。眾所周知的常見問題包括膜污染,這導致濾液流量減少以及產物滯留增加。此前實驗對中空纖維中污染行為的影響進行了研究,并發現交替式液流特性、細胞裂解、剪切應力和膜孔徑的組合應用是造成這一現象的主要因素。
結果:在這項工作中,使用基于磁懸浮泵的低剪切TFF系統、在小規模灌流生物反應器(200 ml)中對不同的工藝設置和條件進行了測試。利用產生重組單克隆抗體的CHO細胞系驗證了一種新的概念,即利用兩個磁懸浮泵實現中空纖維的反向流動。采用動態再循環流量時,產品篩分效率可提高30%。此外,通過在短周期內逆轉兩個交替泵的流量,實現了最小的產物截留率。此外,還發現了高分子量物質透過膜進入灌流工藝收獲液流與流動方向和產物篩分程度之間的相關性。
結論:具有反向流動的TFF是交替式切向流 (ATF) 系統的有價值的替代方案,以克服抗體截留,可以在各種規模和恒定的生物反應器體積下使用。與ATF和TFF相比,產物收率和純度有差異,因此這是工藝設計的一個重要點。
連續強化生物工藝提供了在穩態條件下長期運行的可能性,與傳統的補料分批工藝相比,具有更高的操作靈活性、更高的生產率以及更低的占地面積要求。直接集成高細胞密度灌流工藝和連續的下游捕獲步驟可以節省巨大的成本。然而,可靠的細胞截留裝置是灌流工藝的核心,必須在很長一段時間內發揮作用,而不存在大量的產物截留或濾液中的顆粒突破,以允許持續收集目標產物。
切向流過濾 (TFF) 技術使用循環裝置,通常是蠕動泵,將細胞培養物平行于膜表面運輸,產生液體剪切,以防止凝膠層在過濾器表面形成。然而,據報道,蠕動泵會由于細胞上的高剪切應力而增加細胞裂解,在這方面,磁懸浮泵為生物工藝處理中的低剪切、無脈沖和連續控制流量應用提供了一種替代方案。泵葉輪懸浮在密封的外殼中,無接觸,由電機的磁場驅動,產生連續、均勻的流動,對細胞的剪切極低。交替式切向流(ATF) 系統是近年來越來越流行的單向TFF的替代方案,其使用隔膜泵在中空纖維中來回移動細胞培養物。我們已經討論過,這種反沖和中空纖維的再生可以獲得更好的產物回收率。
灌流滴度決定這一工藝的經濟和生態影響。中空纖維過濾系統是生物生產行業高密度灌流細胞培養中細胞截留的首選技術。然而,他們也存在一些問題,如易發生膜污染,從而降低了濾液的收率。TFF或ATF中的產品篩分問題直接影響產品的總收率。有時,中空纖維過濾器中的跨膜壓力 (TMP) 會受到影響,導致濾液流量減少,從而導致工藝提前終止。對于中空纖維是超濾的組件,這是很常見的情況。此外,從中空纖維過濾器篩出的產物量的變化會產生不穩定的產品濃度,導致捕獲步驟與灌流工藝集成的復雜性增加。
大量的研究旨在確定膜污染的潛在原因,以制定克服產物截留的策略。在下游TFF工藝中,較高的剪切速率可以有利地延緩膜污染;相反,在細胞培養中,過大的剪切應力(通過蠕動泵)通常會導致細胞活性降低,從而對產物的篩選產生負面影響。一些策略使用了大孔過濾器 (孔徑高達10 um,而不是用于微過濾的0.2 ~ 0.45 um) 和寬表面孔微濾膜,這樣可以防止亞微米顆粒通過更大的膜孔而避免造成不可逆的污染。在這些大孔過濾器的下游,需要一個額外的深層過濾步驟,以從濾液流中去除小顆粒。其它研究已經證明,ATF是在重組蛋白生產中提高篩分效率的優選方法,同時實現高細胞密度。研究還表明,在基于ATF的灌流培養中,具有定義的交替流范圍的優化工藝操作可進一步減少產物截留和柱堵塞。此外,對ATF和TFF灌流培養中膜污染機理模型的研究揭示了導致產物截留問題的濾餅形成理論,以及其它因素,如過濾器材質、孔徑、消泡劑、剪切應力和產物的聚集傾向。過濾器材質和表面電荷的影響尚未得到廣泛研究。聚砜 (PS) 和聚醚砜 (PES) 材質由于親水性而具有較低的蛋白結合性能。然而,PS可以促進蛋白質和裂解細胞之間的相互作用,因為它有更高的負電荷密度。因此,后者比由PES制成的中空纖維具有更高的產物截留。
除了嚴重的膜污染和由此產生的低產品篩分,細胞培養過程中蛋白質聚集的存在也會大大降低產物收率。在溶液中,單克隆抗體經常聚集到高分子量物種 (HMW),這是一種由二聚體、三聚體或較大的寡聚體組成的聚集物子集。蛋白質聚集取決于多種因素,包括蛋白質組成、蛋白質表達、工藝條件或穩定性。HMWS的形成可能引起潛在的安全問題,如免疫原性,也可能對生產過程產生重大影響。高比例的高分子量物質通常是不可取的,因為它增加了純化中消除高分子量物質所需的工作 (例如增加純化步驟的數量),從而導致下游工藝產量降低。因此,監測和了解細胞培養過程中蛋白質的聚集,特別是在集成的連續工藝中,是非常必要的。
在本研究中,與蠕動泵相比,磁懸浮泵以更低的剪切來確保細胞懸浮液的循環,在TFF灌流培養中進行了評估,目的是評估其在產物截留和對細胞培養性能的影響方面的性能,如細胞活性、生長速率、細胞特異性生產力。然后對經典的TFF模式進行了修改,得到了一個動態的再循環流動模式,隨著TMP在中空纖維過濾器上的“脈動”,假設這可以減少可逆的膜污染,并對此進行了量化。另一種克服產品篩分衰變的嘗試是通過應用反向流 (rTFF),在TFF的回流線上安裝第二個磁懸浮泵進行研究。并與傳統交替式切向流過濾系統的篩分性能進行了比較。在這些不同的操作模式下,對單克隆抗體單體和HMWS的分析進行了研究。
詳細的實驗操作和結果以及分析,請參考原文。

圖1. (a)本研究中使用的灌流工藝設置。交替式切向流過濾 (ATF) 模式,使用市售XCell ATF2裝置,顯示隔膜泵外殼。切向流過濾 (TFF) 模式,通過中空纖維進行單向流動,通過外夾卡箍式流量傳感器在反饋回路中控制低剪切一次性泵。反向切向流過濾 (rTFF) 模式,應用兩個磁懸浮泵,通過一個外夾卡箍式流量傳感器的反饋信號控制跨膜交替流動。箭頭表示流動方向 (TFF模式下為單向,ATF和rTFF模式下為雙向)。中空纖維濾液出口的泵用于控制收獲流量 (H)。(b) TFF靜態和動態運行。在靜態操作 (運行#TFF1) 中,恒定的再循環流量會產生恒定的TMP (如果沒有或污染很小)。在動態操作 (運行#TFF2) 中,流量由階躍函數控制,從而產生脈動TMP特性。

圖2. (a)活細胞濃度(左y軸)和活細胞活性 (右y軸);(b) 細胞特異性生長速率-u;(c) 灌流速率 (實心符號)、收獲率 (半實心符號) 以及廢棄率 (沙漏符號) 以及(d) 細胞特異性灌流率-灌流培養中的cspr #ATF1 (灰色圓圈)、#TFF1(藍色方塊)和#TFF2(橙色菱形)。

圖3. (a) 生物反應器中單克隆抗體(mAb)滴度;(b) 灌流收獲中的mAb滴度;(c) 細胞特異性生產力- qp和 (d) 灌流培養中產品篩分#ATF1(灰色圓圈),#TFF1(藍色方塊)和#TFF2(橙色菱形)。通過收獲液中IgG濃度與生物反應器中IgG濃度的比值來評估產物篩分。100%的比例表示沒有產品滯留。

圖4. (a)活細胞濃度(左y軸)和活細胞活性(右y軸);(b)細胞特異性生長速率-u (cl灌流率(實心符號),收獲率 (半實心符號)以及廢棄率(沙漏符號)和(d)細胞特異性灌流率-灌流培養中的cspr #ATF2(深灰色菱形),#rTFF1(紅色方框)和#rTFF2(藍綠色六邊形)。

圖5. (a) 生物反應器中的單抗滴度;(b)灌流收獲中的單抗滴度;(c)細胞特異性生產力-qp和(d)灌流培養中產物篩分 #ATF2 (深灰色菱形),#rTFF1(紅色方框)和#rTFF2(藍綠色六邊形)。

圖6. 培養第15天,單抗細胞培養生物反應器樣品 (綠色) 和灌流收獲 (藍色) 的SEC分析。CHO細胞培養上清用普通SEC (TSKgel G300owXL)色譜柱分析。灌流培養的SEC色譜圖(a) #ATF1, (c) #TFF1和(e) #rTFF2。在生物反應器中,單體和高分子量物種 (HMWS) 在第7天 (黑色) 和第15天 (灰色線) 的峰值,來自灌流運行(b) #ATF1, (d) #TFF1和(f) #rTFF2的收獲樣品。

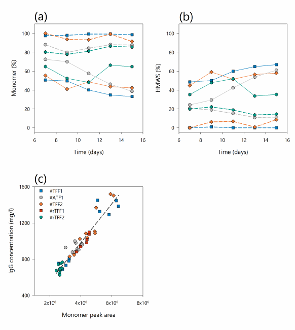
圖7. (a)單體峰的相對數量和(b)高分子量物種(HMWS)與生物反應器總峰面積(實線)和灌流收獲(虛線)在灌流培養#ATF1(灰色圓圈),#TFF1(藍色方塊),#TFF2(橙色菱形)和#rTFF2(藍綠色六邊形)隨時間的關系。(c) 5種不同灌流培養物中IgG濃度(Cedex BioHT測定)與單體峰響應(280 nm)之間的線性相關。

圖8. (a)生物反應器穩態階段和灌流收獲期間的平均(n5)單體分數和(b) HMWS分數與總峰面積的關系。誤差條表示標準偏差。(c)產物篩分曲線與時間的關系;(d)產物篩分系數與灌流培養中收獲的HMWS總含量的關系#ATF1(灰色圓圈)、#TFF1(藍色方塊)、#TFF2(橙色菱形)和#rTFF2(藍綠色六邊形)。采用二次回歸法對兩組參數之間的關系進行建模。
總結
利用磁懸浮泵,證明了低剪切TFF操作在小型灌流生物反應器中連續生產抗體的適用性。我們利用磁懸浮泵對基于TFF的灌流培養中的產品篩分現象提供了兩種解決方案。通過在中空纖維上施加動態再循環流,脈動TMP比恒定的單向TFF流促進了25%的產物通過。更值得注意的是,通過使用兩個磁懸浮泵(rTFF)在中空纖維上應用反向流動的新概念,顯示了TFF灌流細胞培養中產物截留現象的全面改善。在纖維的回流一側安裝第二個泵,從而使用正向和反向流,在整個過程中實現了接近100%的產物透過。在恒定剪切速率和循環剪切速率下,對不同的工藝設置進行了性能測試。結果,細胞不受剪切應力的影響,并在所有系統中表現出相似的生長和生產行為,分別與剪切速率和操作模式 (ATF、(r)TFF)無關。與傳統ATF系統相比,這一應用于TFF逆流的綜合解決方案產生了一個穩健、易于建立和類似的灌流工藝,具有在恒定生物反應器滯留體積下運行的優勢。
此外,數據表明,中空纖維灌流工藝過程中的膜污染不僅會影響產物的收率,還會影響產物的純度。綜上所述,單向TFF模式比動態和反向TFF模式具有更大的截留率,從而導致更差的產物收率。因此,TFF工藝由于較低的HMW含量 (較高的抗體純度) 而產生較純的收獲流,但由于抗體截留在生物反應器中而產生較低的產物收率。結果表明,在單向和雙向流動中,灌流收獲的HMW雜質量不同。與在TFF模式下相比,在ATF和rTFF模式下,收獲流中較高水平的蛋白質雜質對產物總收率的影響更大。因此,在交替式切向流過濾系統中獲得的較高產物收率并不同時導致較高的產物純度。因此,要處理的物料的純度會根據灌流工藝設置的不同而不同,因此對下游單元來說是一個挑戰。可以在產品篩分系數和HMWS水平之間建立相關性,以推斷來自不同設置的雜質的程度。這為集成式連續生物工藝的操作提供了重要機會,其中可基于篩分系數使用此相關性來相應地調整下游純化步驟。因此,可以實現一致的產物純度或聚體/HMW雜質的分離。在考慮一個完全集成的連續工藝時,不同HMWS水平和物質對純化工藝的影響仍然需要在未來的研究中加以考慮。
