為了使基因療法成為更容易獲得和負擔得起的治療選擇,工藝強化是增加每批次病毒載體產生的劑量數量的一種可能策略。當與穩定生產細胞系結合應用時,可以通過在生產生物反應器中進行灌流來實現慢病毒載體生產的工藝強化,從而無需轉移質粒即可顯著提高細胞擴增和慢病毒載體的生產。切向流深層過濾用于通過灌流提高細胞密度,并允許慢病毒載體與生產細胞連續分離,來實現強化的慢病毒載體生產。由聚丙烯制成的具有 2 至 4 μm 孔徑的中空纖維深層過濾器在用于這種強化工藝時表現出高過濾能力、延長的功能壽命以及慢病毒載體與生產細胞和碎片的有效分離。我們預計,使用 200 L 規模的切向流深層過濾進行懸浮培養的工藝強化,每批次可針對需要慢病毒載體的 CAR T 或 TCR 細胞和基因治療生產約 10,000 劑,后者每劑需要大約 2 × 10^9 轉導單元(TU)。

用逆轉錄病毒進行基因遞送始于 1980 年代,并且一直是一種有用的工具,部分原因是逆轉錄病毒能夠用水皰性口炎病毒囊膜糖蛋白 (VSVg) 進行假型化,以增強穩定性并提供廣泛的趨向性。慢病毒載體 (LVV) 已成為基因治療的有力工具,因為它們可以有效地將前病毒元件整合到宿主基因組中,可以轉導非分裂細胞,并且具有低免疫原性。LVV 可用于轉導患者 T 淋巴細胞以驅動 T 細胞受體 (TCR) 或嵌合抗原受體 (CAR) 基因的表達,從而治療不同的癌癥。
截至 2022 年初,已完成大約 3,000 項臨床試驗,另有 597 項正在進行、重復或即將招募的使用 LLV 的臨床試驗,這證明了細胞和基因治療領域對 LVV 的濃厚興趣。然而,這些療法的成本對許多潛在患者來說是一個障礙,部分原因是與 LVV 生產相關的成本是由一般的工藝產量以及用于瞬時轉染工藝所需的質粒 DNA 的高昂成本所引起的。這些生產方面的挑戰不僅會影響治療的成本,還會影響生產滿足流行病潛在需求所需的足夠劑量的能力。例如,如果不提高每批次的LVV產量或增加生產批次,開發一種對大部分肺癌患者既可用又負擔得起的細胞療法是不可行的,2021 年,僅美國就有約 131,880 人死于肺癌。
成本建模分析表明,通過使用一次性攪拌罐生物反應器 (STR) 以及利用穩定的生產細胞系 (SCL),可以降低 LVV 生產的商品成本,從而消除了 LVV 中對質粒 DNA 的依賴生產。SCL 的使用提供了通過在單位生物反應器體積中生產更多 LVV 來提高產量的機會,這是通過灌流系統增加細胞密度來實現的。這些技術的利用有可能降低成本,并減少生產占地,同時為細胞和基因療法提供足夠的劑量。值得一提的是,還有其它策略可以增加每批次的生產劑量,例如,提高下游回收率、提高轉導效率以及設計旨在提高基因表達的改良轉基因盒。
目前,可以通過瞬時轉染過程來生產 LVV,通常通過使用與聚乙烯亞胺 (PEI) 復合的四種質粒(env、gag-pol、rev 和目的基因)轉染 HEK293T 細胞來實現。 瞬時工藝可以快速生產臨床級 LVV;然而,如果在生產中使用 cGMP 級質粒 DNA,這些工藝可能會變得昂貴。另一方面,雖然 SCL 需要技術專長,并且可能需要更長的開發時間,但一旦生成它們,就可以用于 LVV 生產,而無需依賴質粒DNA 和轉染。此外,與本研究最相關的是 SCL 的可放大性優勢。固有穩定的生產細胞可以在不丟失載體基因組的情況下在培養中擴增,并使用 Tet-On 系統進行誘導,從而消除了生產轉移質粒的需要。
可以使用貼壁細胞培養或懸浮馴化細胞培養來實現 LVV 的生產(無論是瞬時轉染還是 SCL)。貼壁細胞需要生長基質,以允許粘附和擴散。使用貼壁培養的 LVV 可擴展生產平臺包括分層容器(細胞工廠)、固定床生物反應器 (如iCELLis)、中空纖維生物反應器 (如Quantum) 以及微載體(如 Fibra-Cel,與無基質的生物反應器(如搖擺運動反應器 (WAVE) 或 STR)結合使用)。懸浮培養通常與 STR 配對,因為它們不受先前列出的系統基質表面積的限制。
Lesh等人的研究結論是 iCellis (Pall) 固定床生物反應器由于可放大性和易于收獲而成為貼壁生產的有利選擇,但請注意,不可能在初始接種后直接檢測細胞密度。Powers 等人以 0.15 × 10^5 cells/cm2 接種 iCellis,通過在 2.65 m2 生物反應器上使用 Aber Futura 生物量探針進行間接測量,估計收獲細胞密度約為 6.8 × 10^5 cells/cm2。 Pall 提供的 iCellis 系統高達至 500 m2;使用 Powers 等人測量的收獲密度,這可以支持高達 3.4 × 10^12 cells。就細胞密度而言,這大約是支持懸浮細胞培養的 500 L STR 的兩倍,當以 3 × 10^6 cells/mL 的收獲密度進行批次模式操作時,這將產生 1.5 × 10^12 cells/batch。每個系統都存在優點和缺點 - 貼壁培養與懸浮培養中的 LVV 輸出、大體積收獲材料的純度、易用性、成本和生產占地 - 但顯然這兩種系統都提供了支持大量細胞以及從而產生大量 LVV的能力;Powers等人估計使用 300 m2低壓實系統運行一次 iCellis 可以從一個批次中生產 6,490 劑用于 X 連鎖嚴重聯合免疫缺陷 (X-SCID) 的 LVV,假設產量與他們的 2.65 m2小規模模型相當。
灌流 - 通過營養物添加和副產物去除而實現連續的液體交換 - 是考慮用于 LVV 生產的生物反應器選項的另一個因素。 iCellis 系統本質上是一種灌流系統,因為細胞會粘附在固定床膜上,并且能夠在不干擾細胞的情況下置換培養基。然而,尚不清楚 iCellis 系統是否可以通過提高接種后的培養基置換率來支持比之前提到的更高的細胞密度。中空纖維膜 (HF) 已與 STR 和搖擺運動生物反應器一起使用,以置換培養基,并支持比通常在批次或補料分批生物反應器中實現的更高的細胞密度。這些膜可以在切向流過濾 (TFF) 或交替式切向流過濾 (ATF) 模式下運行,并已證明能夠成功地生成高達 2.14 × 10^8 cells/mL 的細胞培養。
灌流在哺乳動物細胞培養中的好處可以在多個不同的生產領域中找到。在生物制藥生產過程中,灌流已用于制備高細胞密度種子庫,可在需要接種生物反應器時冷凍和解凍,從而減少整體種子擴增時間。此外,灌流可用于 N-1 生物反應器,這減少了生產(N 級)生物反應器接種前所需的反應器體積。 N-1 生物反應器中的灌流還可以允許以更高的細胞密度進行接種,從而在工廠中節省更多的時間。最后,可以在 N 級反應器中使用灌流來提高產品產量。 單克隆抗體 (mAb)、 腺病毒載體和 LVV 的產量增加已通過利用灌流系統與封閉系統生物反應器的結合得到了證明。
ATF 技術是在哺乳動物細胞培養過程中實現 STR 灌流的既定選擇。目前可通過 Repligen 獲得,ATF 由許多封裝在圓柱形外殼中的管狀中空纖維過濾器組成。過濾器孔徑大小將決定系統的分類是超濾 (50 kDa) 還是微濾 (0.2 或 0.45 μm)。過濾器連接生物反應器內的導管和系統底部的隔膜泵。流量的方向和速率由控制隔膜中空氣壓力的控制器決定,從而使細胞培養物交替向上沖程進入生物反應器,然后向下沖程返回設備;這種交替的切向流通過去除過濾器表面積聚的雜質來促進自清潔。濾液管線位于包裹的中空纖維束的外側。從反應器中移除的速率要么根據預定的灌流速率設置為常數,由細胞特異性灌流速率 (CSPR) 決定,要么設置為在生物反應器系統中保持恒定的重量,同時以恒定的速度添加培養基,即由 CSPR 確定。
一種正在探索的新過濾技術是 Repligen 的切向流深層過濾 (TFDF),與 ATF 相比有幾個關鍵區別。 TFDF 是管狀聚丙烯過濾器,壁厚約為 5 mm。相比之下,ATF 中空纖維聚醚砜膜的厚度約為 0.075-0.2 mm。 TFDF管腔由各向同性材料制成;結合其厚度,該過濾器允許延長曲折的通道路徑,直徑約為 2–4 μm,顆粒必須穿過這些通道才能進入濾液端。 ATF 中空纖維是一種各向異性材料,用作絕對截止過濾器,50 kDa,0.2 μm,或最大的產品,0.45 μm。深層過濾與 TFF 的結合使 TFDF 具有更高的過濾容量,同時避免生物產物滯留在過濾器內。 TFDF 系統在沒有交替流動的情況下運行:低剪切泵通過生物反應器內的兩個導管在一個方向上通過過濾器循環培養物,并且濾出液同樣通過蠕動泵基于恒定速率從過濾器外殼中去除,或通過重量控制自動調節。
兩種灌流技術之間的材料差異使它們可以應用于不同的模式和不同的產品類型。當使用超濾時,單克隆抗體,如 IgG1, 可以被 ATF 中空纖維截留,但如果系統切換為使用微濾中空纖維,產品可以在濾出液中連續收集。根據我們的經驗,微濾 ATF 膜會截留 LVV(數據未顯示),后者直徑約為 100–120 nm,而 TFDF 明顯較大的孔結構已被證明允許 LVV 自由進入濾出液。
Oxford Biomedica 已經證明,TFDF 技術可用于從 HEK293T 細胞中分離LVV,并可擴大規模,以進行批量過濾。初步實驗表明,可以使用單個 55 cm2 TFDF 過濾器和單個生物反應器,進行多次 5 L 批次收獲,方法是在初始收獲后將培養物重新懸浮在新鮮培養基中。他們還將這項技術與市售深層過濾器進行了比較,結果表明 TFDF 收獲物的產量更高。最后,他們成功地將他們的工藝從 5 L STR 擴大到了 50 L STR。
TFDF 的優勢在于其在灌流支持下從高細胞密度培養物中進行連續收獲的潛在應用。前面的例子有效地展示了 HEK293T 與 LVV 的分離;然而,該系統用于 1 小時的批次收獲,而不是連續分離。很可能在收獲之前沒有使用灌流,并且不清楚收獲密度是多少,因為它們未公開。我們試圖通過灌流和連續收獲,來測試該過濾器對工藝強化的有用性。
我們報告了在灌流系統中以高細胞密度(>20 × 10^6 cells/mL)從 SCL 連續生產和收獲 LVV,這是通過使用 TFDF 實現的。在這項研究中,過濾器最初在低細胞密度 (LCD) 下進行評估,以驗證 Oxford Biomedica 報告的發現。已經開發出一種使用 ATF 技術的灌流工藝,該工藝將 LVV 與生產細胞一起大量濃縮,并將收獲限制為在誘導后 48 小時 (hpi) 進行的單批次收獲。使用 TFDF 實現的灌流允許從高細胞密度培養物中連續收獲和分離 LVV。因此,從生物反應器中收集 LVV 成功地實現了高達 96 hpi,這是使用 ATF 技術通過單批次收獲實現的生產時間的兩倍。
詳細實驗操作和結果,請參考原文。

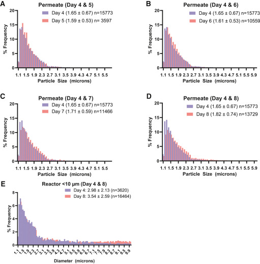
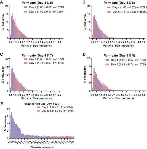
圖 1 低細胞密度 TFDF 收獲結果

圖 2 所有運行的活細胞密度 (VCD) 和活性 vs. 運行的時間(天)。

圖 3 使用 TFDF 的高細胞密度灌流:濁度和跨膜壓。

圖 4 使用 TFDF 的高細胞密度灌流(僅運行 2):顆粒濃度和滲透率百分比。

圖 5 使用 FlowCam 8000 測量并取自 TFDF 運行 2 的濾出液和生物反應器樣品的顆粒直方圖

圖 6 針對反應器、在線濾出液和原液袋樣品,高細胞密度 (HCD) p24 (pg/mL)、ddPCR 感染滴度 (TU/mL)、宿主細胞蛋白 (HCP) (ng/mL) 和雙鏈 DNA (ng/mL) vs. 時間(天)。

圖 7 使用 TFDF 的高細胞密度灌流:估計的慢病毒載體產量。
結論
TFDF 膜的初步評估作為概念證明進行,旨在使用單個 2 L 生物反應器回答幾個問題。主要重點是了解和量化通過過濾器的 LVV 產量,確定典型工藝通量下的膜載量,并評估從單個生物反應器進行多次收獲的可能性。為此,我們使用尺寸過小的過濾器 (3 cm2) 來達到基于最大負載的過程終點。
先前的研究報告說,使用 55 cm2 TFDF 膜和 5 L 生物反應器進行的兩批次收獲具有良好的 LVV 產量,細胞密度和 LVV 滴度未公開。最初選擇這些條件是因為它們代表了最佳工藝參數,導致收獲時間略低于 1 小時,每次收獲的通量為 909 L/m2。 在我們的實驗中,我們報告了高過濾器載量是由于 3 cm2 過濾器的尺寸配備 2 L 生物反應器。兩批收獲的總和超過 11,000 L/m2,48 hpi 收獲約為 6,170 L/m2,96 hpi 收獲約為 5,200 L/m2。盡管在 96 hpi 收獲時 TMP 接近 5 psi,表明膜逐漸污染,但第二次收獲成功完成,否則正常流量深層過濾將無法實現。在實踐中,可以通過選擇更大的單位體積過濾面積來避免這些高壓;但是,在擴大生產規模、以降低生產工廠的成本和設備尺寸時,了解過濾器載量至關重要。
LVV 產量的評估也令人鼓舞。對于 48 hpi 的收獲,確定了幾乎完全的 LVV 回收率,這是對市售深層過濾器的改進,通常獲得的澄清率在 75% 和 90% 之間。雖然對于 96-hpi 收獲,發現濾膜發生了一些損失,考慮到膜被推到其最大過濾載量,這并不完全令人驚訝。如果增加每個收獲體積的過濾面積,我們將再次期望提高第二次收獲的產量。此外,我們決定在 48 hpi 收獲后斷開過濾器并將其內容物排入反應器,并在開始 96 hpi 收獲之前重新灌流過濾器。在觀察過濾器在后面的灌流實驗中長時間運行的能力后,如果重復多批次收獲,我們可能會決定不對膜進行排液和重新灌流?;蛘?,我們可以讓膜在 48 hpi 到 96 hpi 的條件下再循環,而不運行濾液泵,然后在準備第二次收獲時簡單地打開泵。我們認為這可能是一種更好的方法,因為切向流對膜的自清潔作用有益;此外,該操作的勞動力要求較少。需要額外的實驗來確定擴大具有多批次收獲的工藝的好處。
對于 LCD 細胞培養(例如,非灌流批次工藝),TFDF 似乎是將 LVV 從宿主生產細胞中分離出來的有效膜。雖然我們故意使 3 cm2的過濾器過載,但更實用的批次工藝可能會以 2-2.5 的安全系數運行,并嘗試將總工藝時間保持在 1-2 小時左右。如果在這些限制范圍內開發一種工藝,可以使用 50 cm2 的膜來培養 10 L,450 cm2 來培養 100 L,2,100 cm2 來培養 500 L,過濾面積分別Repligen 提供的實驗室、中試和生產規模 KrosFlo 產品匹配。理論上,使用他們最大的 6,000 cm2 過濾器可以在 2,000 L 下執行兩次收獲過程,但根據我們的結果,這會將工藝時間推至大約 3 小時,并使用約 1.3 的低安全系數。然而,應根據每個生產細胞系的具體情況進行詳細評估,以確定可接受的公差范圍。
在最初的實驗證實之后,我們試圖評估 TFDF,以便使用我們的 SCL 實現灌流,以獲得傳統批次工藝形式的強化版本。觀察到的處理量表明過濾器也可能適用于此應用程序并支持更高的細胞密度培養。過去的實驗是利用 0.2 和 0.45 μm ATF 中空纖維進行灌流;然而,在濾液中只有微量的 LVV(p24 和 ddPCR 小于 1%)。使用 ATF 的灌流時,LVV 必須在誘導后一段時間后以批次形式從生產細胞中分離出來;因此,ATF 的目的是促進細胞擴增到比沒有灌流時可能達到的密度高得多的密度。通過使用 TFDF,我們預計除了能夠在誘導前將培養擴增到更高密度外,還能夠從生產細胞中連續分離 LVV。
TFDF 實際上可以通過灌流將培養擴增到更高的密度,并且與 ATF 中空纖維相比,似乎沒有任何區別。誘導前,培養平均達到 37.1 × 10^6 cells/mL,活性≥95%;在我們的案例中,可能可以實現更高的密度,但每天需要更多的生長培養基。我們的工藝限制在每天大約 3 個罐體積(VVD),以避免對該工藝的潛在放大版本提出不切實際的培養基要求。因此,進一步放大將面臨必需營養素缺乏的風險,可能會影響生產細胞的 LVV 生產。
我們著手通過量化濾液和反應器濁度、TMP 以及粒徑和濃度來表征過濾器的性能。所有技術都表明 TFDF 膜可以有效地將 LVV 從生產細胞和細胞碎片中分離出來。如圖 S1 所示,除了運行 1 在線濾液樣品外,濾液中的濁度始終小于測量的反應器濁度的 2%。對于運行 1 ,我們強烈懷疑在提供的單向閥采樣端口(位于 TFDF 過濾器外殼的濾液側)上使用注射器快速抽取采樣的行為導致人為高于設定點的通量(90 LMH)。在誘導后 2、3 和 4 天,運行 1 的在線濾液濁度均高于任何批次收獲濁度。如果在線濁度實際上具有代表性,我們會預期批次收獲液中會有更大的濁度。出于這個原因,我們建議不要使用注射器端口進行在線采樣,并使用 Y 型連接器收集到無菌樣品瓶中,就像我們第二次和第三次 TFDF 運行所做的那樣??偟膩碚f,濁度降低是一致的,并且在將濁度突破定義為濾液濁度相對于反應器濁度的增加時,直到誘導后 4 天都沒有觀察到突破。
圖 3C 中的低 TMP 和此測量值的線性增加還支持我們觀察到發生了最小的顆粒突破。對于突破事件,我們可能期望 TMP 過渡到非線性階段,表明過濾器內有明顯堵塞,這通常會導致更高比例的顆粒突破。相反,TMP 的快速下降可能表明過濾器受損,不再能夠截留大顆粒。深層過濾提供了一個獨特的優勢,與片式過濾器相比,它通??梢蕴峁└叩娜萘?,因為它允許顆粒被捕獲在其通道內,而不會完全阻塞通過同一通道的液體流動。 TFDF,正如其恰當的名稱所示,結合了 TFF 的這一優勢,有助于剪切膜表面,以最大限度地減少過濾器內的顆粒沉積。因此,TMP 逐漸線性增加,誘導后最多 4 天的所有運行均不超過 0.5 psi (>8,000 L/m2),這是 LVV 與細胞碎片成功分離的積極跡象。
我們最后一種表征過濾器的方法是量化反應器中的顆粒濃度和大小,并使用液流成像直接觀察濾液,據稱其成像范圍為 2–50 μm(盡管某些顆粒在 <2 μm 處被檢測到)。我們發現,即使是 FlowCam 可檢測到的最小顆粒也能被 TFDF 有效阻擋(圖 4 和 5),并且在誘導后長達 4 天的時間里,觀察到的濾液顆粒尺寸沒有顯著增加。這一觀察再次支持我們使用 TFDF 膜從細胞碎片中有效分離 LVV 的結論。
到目前為止,在我們的討論中,我們強調了支持細胞和細胞碎片截留在膜的回流側的數據。為了總結 LVV 從生產細胞和碎片的有效分離,我們在圖 6 和圖 7 中通過 ddPCR 量化了 p24 濃度和感染性滴度,以證明實現了高 LVV 回收率。首先,在圖 6 中,很明顯,在相對于反應器的濾液中測量到了可比的分析標記;我們在圖 7 中的產量計算量化了這些結果,并得出結論,在我們的收獲液中獲得了幾乎完全回收的 LVV。因此,我們已經證明 TFDF 膜在從生產細胞和反應器中存在的絕大多數碎片中分離 LVV 方面表現良好。
該工藝的一個觀察到的缺點是 LVV 的感染性隨著時間的推移在誘導后明顯降低;然而,這個問題與 TFDF 過濾器無關,可以歸因于 SCL。已知使用 VSVg 假型化的 LVV 對生產細胞具有細胞毒性。如圖 6 所示,感染滴度和感染性均出現明顯下降。前者在 LVV 生產的拐點后減少,大約 48 hpi,而后者從誘導開始減少。對于我們的生產細胞系,從誘導后第1-2天、第2-3天以及第3-4天,收獲的總TU平均為 42.5%、37.4% 和 17.2%。如果放大具有這些特征的工藝,則應執行成本效益分析,以確定收獲窗口以及第 3 天之后的收獲是否有利。此外,需要進一步表征,以評估從誘導后很長時間收獲的純化 LVV 產品是否具有足以用于患者的質量屬性,特別是相對于誘導后直接收獲的具有更高感染性的產品。具有較低感染性的餾分可能需要更高的感染復數 (MOI),從而需要更高的細胞和基因治療劑量。我們想提一下,我們懷疑通過增強生產培養基、載體構建設計和假型化以及克隆選擇對上游工藝的進一步優化可能會導致生產細胞系得到改進,從而增強在誘導后延長的生產時間內產生具有更一致感染性的 LVV 的能力。
我們對由 ATF 或 TFDF 支持的強化灌流工藝與標準批次工藝進行的比較表明,使用當前可用的過濾技術可以獲得顯著的生產收益。如表 1 所示,與非灌流批次生產相比,ATF 或 TFDF 工藝都允許將生產細胞的密度提高一個數量級,并且可以獲得幾乎相同的 LVV 產量增加。擁有 SCL 可以使這些強化工藝變得可行并最終具有成本效益;由于不需要轉移質粒,因此只需通過從生長培養基切換到生產培養基來誘導培養,以啟動 SCL 的基因表達,從而生產細胞的LVV組裝和出芽。 TFDF 提供了從生產細胞中連續分離 LVV 的額外好處,與 ATF 強化工藝相比,這導致每批次的 TU 增加近 2 倍。 TFDF 強化的這種生產收益是一個好處,因為不需要終止培養來分離 LVV,而這是 ATF 工藝所必需的。
在比較 TFDF 和 ATF 強化工藝時,應強調進一步的優點和缺點。雖然我們強調可以通過使用 TFDF 擴增誘導后細胞的策略來提高產量,但另一個好處是不需要二次分離步驟:TFDF 用作促進灌流的工具,同時用作第一步分離。對于 ATF ,由于 LVV 截留在生產細胞的回流液中,因此需要二次單元操作來執行類似的分離。例如,離心或深層過濾步驟可用于此分離;然而,這是一筆巨大的成本,并且會在生產環境中占用額外的空間。 ATF 和離心機配對可以可行地允許從灌流強化反應器中進行多次收獲;然而,還需要進一步的開發來確定 ATF 如何在多次收獲中保持潤濕狀態和功能,以及如何將細胞沉淀從離心機返回到生物反應器中進行培養基再懸浮。
雖然上述優點適用于 TFDF,但它并非沒有缺點。主要缺點是單位體積輸出,其中包含 LVV。我們每天生產了大約 3 VVD 的濾液,如果收獲 2 天或 3 天的濾液,則分別相當于 6 或 9 個罐的總體積。雖然 ATF 需要與 TFDF 相同數量的培養基,但在收獲時,含有 LVV 的上清液只是一個罐體積。因此,它們的后續下游工藝看起來幾乎等同于非灌流批次工藝,而 TFDF 形式需要某種形式的體積濃縮或將濾液收集在相對于生物反應器體積更大的儲罐中。前者將是首選,因為考慮將 TFDF 用于連續生產的人可能會對從批次生產切換到連續生產時通常實現的占地減少感興趣。
為了進一步闡述這一點,可以圍繞 TFDF 設計一個真正的連續工藝,以進一步減少生產占地,并與批次相比,更快地從生物反應器中分離和純化 LVV。這提供了提高產品質量和產量的潛力,因為已知 LVV 對溫度敏感,因此不能長時間保存。單程 TFF (SPTFF) 是一種選項,可用于將 TFDF 濾液的體積減少到后續純化步驟的實用水平。另一種選擇是多柱層析法 (MCC);在這種情況下,TFDF 濾液可以通過預過濾器并連續上樣到在上樣、洗脫和再生階段之間交替的柱上。這兩種選擇都需要對 LVV 生產進行進一步評估;然而,它們目前對生物制藥生產都特別有吸引力,以提高生產率,并減少占地和成本;因此,這些技術的前景可擴展到細胞和基因治療以及 LVV 的生產。
用于 LVV 生產的灌流強化工藝的發展引入了為大量患者群體提供足夠 LVV 劑量的可能性。如果我們做出幾個假設,我們就可以開始估計可以以商業規模生產的劑量數。這些初始假設包括適度的 20% 下游收率,ddPCR 的總 TU 大約是功能滴度的 5 倍,并且 2 L 規模的工藝可以有效地擴大到 200 L。如果我們進一步假設所需的劑量對于假設的 TCR 和 CAR-T 療法,每位患者是 2 × 10^9 TU,對于假設的造血干細胞 (HSC) 基因療法,是 2 × 10^10 TU,則200-L 批次、ATF灌流和 TFDF 灌流將分別產生 900、12,000 和 24,000 劑,用于 TCR 和 CAR-T 療法,而 HSC 基因療法則低一個數量級。雖然每種單獨的療法都將取決于經驗確定的 MOI,并且每個工藝的產量都會有所不同,但這個例子證明了在不久的將來使用 LVV 進行細胞和基因療法治療大量患者群體的可能性。
